ستاره بزرگ
یک گروه بینالمللی از ستارهشناسان با استفاده از چندین تلکسوپ، یک شعله ویژه (سوپر فلر) نیرومند اشعه ایکس را مشاهده کردند که سال ۲۰۲۲ در یک ستاره بزرگ با نام HD ۲۵۱۱۰۸ روی داده است.
به گزارش هیچ یک از فیز، نتایج این تلاشهای مشاهداتی که به تازگی انتشار یافته، بینش تازهای درباره فعالیت شعلهای این ستاره فراهم میکند. شعلههای ویژه (Superflares) انفجارهای عظیم انرژی از سطح ستاره هستند. شناسایی شعلههای جدید از این نوع و مطالعه دقیق آنها برای شناخت بهتر منشاء این رویدادها و تراکنش بین میدانهای مغناطیسی و سطوح ستارهها ضروری است.
ستاره HD ۲۵۱۱۰۸ که در فاصله حدود یک هزار و ۶۴۶ سال نوری واقع شده است، یک ستاره بزرگ تکامل یافته و فعال مغناطیسی از نوع «کی» (k-type) است که حدود هفت برابر بزرگتر از خورشید است. این ستاره نسبتا سرد، با دمای موثر ۴,۴۶۰ K است و جرم آن با جرم خورشید قابل مقایسه است.
این ستاره در اواخر سال ۲۰۲۲ یک شعله ویژه نیرومند اشعه ایکس را تجربه کرد و یک گروه از ستارهشناسان با هدایت «هانس موریتس گونتر» از موسسه اختر فیزیک «امآی تی کاولی» در کمبریج ماساچوستس شروع به مشاهده و رصد این رویداد کردند تا فعالیت شعلهای بر روی ستارههای بزرگ را بهتر بشناسند.
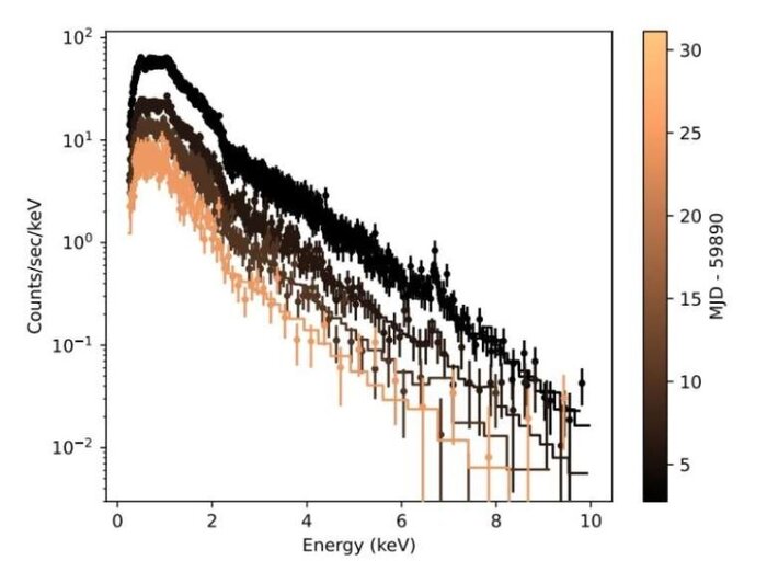
این مشاهدات مشخص کرد که شعلهویژه سال ۲۰۲۲ بر روی ستاره یاد شده خصوصیاتی داشته که موجب شده یکی از قویترین شعلههایی باشد که تاکنون مشاهده شده است.
بر اساس دادههای جمعآوری شده مشخص شد که این شعله پس از حدود ۱۰ روز از اوج آن، یک دوره کوتاه گرمایش مجدد را تجربه کرده است. این مطالعه مشخص کرد که وفور مواد شیمیایی بر روی این ستاره در طول مدت شعله پایدار بوده و با شرایط ستارههای فعال با تاثیر پتانسیل یونیزاسیون معکوس (IFIP) سازگار است.
