پژوهشگران دانشکده روانشناسی و علوم تربیتی دانشگاه تهران راهکار تازهای برای بهبود ارتباطات و مهارتهای اجتماعی کودکانی مبتلا به آسیب شنوایی که عمل کاشت حلزون داشتهاند، ارائه دادند.
به گزارش روز چهارشنبه گروه علم و آموزش از دانشگاه تهران، پژوهشگران دانشگاه تهران دریافتهاند که برنامه آموزشی مبتنی بر پروتکل یکپارچه درمان فراتشخیصی میتواند مهارتهای اجتماعی-هیجانی کودکانی را که کاشت حلزونی داشتهاند افزایش دهد و مهارتهای تعاملی آنان با والدینشان را بهبود بخشد.
به گفته سوگند قاسمزاده استادیار دانشکده روانشناسی و علوم تربیتی دانشگاه تهران، از آنجا که آسیب شنوایی حتی در کودکان با کاشت حلزون میتواند در رشد هیجانی، اجتماعی و شناختی آنها تأثیرگذار باشد، بهبود مهارتهای اجتماعی-هیجانی در این کودکان بسیار ضروری است.
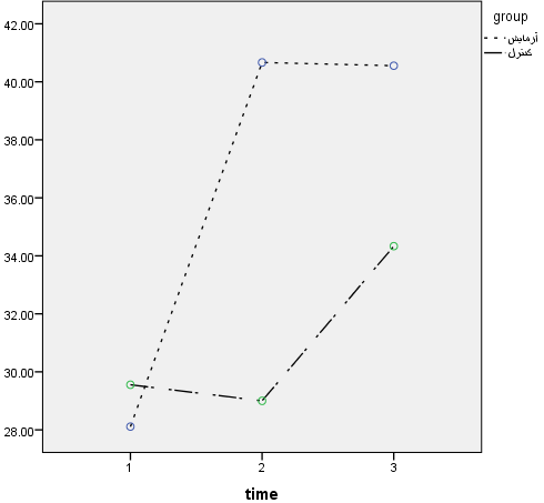
نمودار ۱_ مهارت های اجتماعی – هیجانی: خودتنظیمی
این روانشناس و متخصص کودک و نوجوان، در معرفی رویکرد مورد استفاده در این پژوهش گفت: پروتکل یکپارچه فراتشخیصی (unified transdiagnostic protocol) یک رویکرد روانشناختی تلفیقی برای درمان اختلالات عاطفی است که میتواند طیف وسیعی از ارزیابیهای شناختی و هیجانی ناسازگارانه فرد را بازسازی کند، از اجتناب هیجانی پیشگیری کند و استفاده از روندهای مواجهه سالم با هیجانها را آموزش دهد. این پروتکل تاکنون در حوزه آسیبشناسی و درمان به شیوههای متعدد کاربرد داشته، اما در این پژوهش برای نخستین بار در مورد کودکان مبتلا به آسیب شنوایی و دارای کاشت حلزون استفاده شده است. در این تحقیق همچنین سعی شده است نوعی برنامه آموزشی متناسب با ویژگیهای کودکان دارای حلزون کاشته شده طراحی شود که قابلیت اجرای مداخله به صورت مجازی هم داشته باشد.
نمودار ۲_ مهارت های اجتماعی – هیجانی: توانمندی اجتماعی – هیجانی
قاسمزاده، راهنمای این پژوهش در توضیح فرآیند پژوهش، گفت: «در این مطالعه که توسط مرضیه مهردادفر انجام شد، مادران ۱۸ کودک دارای حلزون کاشتهشده که بین ۸ تا ۱۱ سال سن داشتند به همراه فرزندانشان در برنامه آموزشی شرکت کردند. این برنامه آموزشی شامل ۲۰ جلسه مداخله آنلاین بود که دو بار در هفته اجرا میشد و در هر جلسه ۹۰ دقیقه به کودکان و ۳۰ دقیقه به والدین آنها آموزش داده میشد. همچنین ۹ جلسه انفرادی نیز ویژه مادران جهت بررسی روند پیشرفت کودک و مادر و بررسی مسائل فردی مرتبط با هر کودک و رفع ابهامات و پیگیری آموختهها برگزار میشد. اجرای برنامه حدود دو و نیم ماه به طول انجامید.
نمودار ۳ – مهارت های اجتماعی – هیجانی: همدلی
نویسنده کتاب «مداخلات خانوادهمحور در توانمندسازی کودکان با نشانگان داون»، درباره یافتههای این پژوهش گفت: «نتایج تحقیق نشان داد که محتوای برنامه درمانی متناسبسازیشده مبتنی بر رویکرد فراتشخیصی از روایی مطلوبی برخوردار است و بر افزایش مهارتهای اجتماعی-هیجانی کودکان با کاشت حلزون، بهویژه در خودتنظیمی آنها تأثیر میگذارد. این برنامه آموزشی همچنین دارای اثرات پایداری در کاهش تعارض و وابستگی رابطه والدین و کودک و افزایش تعامل میان آنها است. علاوه بر این، از آنجا که اجرای آزمایشی این برنامه به صورت مجازی باعث افزایش مهارتهای اجتماعی هیجانی در بین کودکان گروه آزمایش شده است، در سطح گسترده نیز میتواند به صورت مجازی اجرا شود تا بهرهگیری از آن برای کودکان و خانوادههایی که امکان دسترسی به دریافت خدمات حضوری ندارند یا در مناطق محروم و کم برخوردار زندگی می کنند، نیز امکانپذیر شود.
نمودار ۴ – مهارت های اجتماعی – هیجانی: مسوولیت پذیری
نتایج این پژوهش به تازگی در شماره ۱۶۷ «نشریه بینالمللی گوش، حلق و بینی کودکان» توسط انتشارات الزویر منتشر شده و از طریق پیوند زیر دستیافتنی است:
نمودار ۵- تعامل والد – کودک: تعارض




